当前位置:首页 > 学术研究
浙商大食品与生物工程学院林全全副教授Food Hydrocolloids发文

发布日期:2025-10-17   字体:

近日,浙江工商大学食品与生物工程学院林全全副教授、韩剑众教授联合新西兰梅西大学Aiqian Ye教授在Food Hydrocolloids上发表了题为Structure and protein digestibility of textured vegetable proteins (TVPs)-based meat analogs: effect of corn starch的研究论文。

微信图片_2025-10-17_135018_616.png

随着全球人口增长和对可持续发展需求的提升,传统畜牧业生产面临可持续性挑战。在此背景下,植物肉应运而生。植物肉因对环境友好、资源节约及可能的健康益处而受到越来越多的关注。

植物肉的主要配料是组织化植物蛋白(textured vegetable protein,简称TVP)。TVP是指以植物蛋白为主要原料,通过挤压等方法制得的具有类似动物肉纤维结构和口感的蛋白产品。淀粉作为TVP生产中的常见辅料,在TVP纤维结构形成中起着关键作用。然而,遗憾的是,有关淀粉对TVP中蛋白质消化性和氨基酸吸收的影响却从未被关注。

为了填补这一研究空白,本研究选用玉米淀粉作为典型代表,制备了5种淀粉含量在0% - 20%范围的TVP样品,运用多种技术深入剖析其纤维结构和蛋白质构象变化,通过体外消化模型和大鼠体内试验全面考察淀粉对TVP蛋白质消化性和氨基酸吸收的影响,旨在为开发具有高营养价值的植物肉产品提供坚实的理论依据。

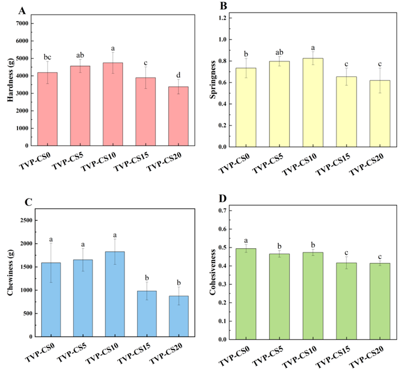
研究发现,随着玉米淀粉含量增加,TVP的结构发生显著变化。其硬度、弹性和咀嚼性呈现出先升后降的趋势,在淀粉含量为10%时达到峰值;与之相反,产品内聚性逐渐降低,纤维结构变得疏松无序。体外消化实验表明,高淀粉含量的TVP消化后的颗粒更小,蛋白质水解程度更高,释放的游离氨基酸更多,消化性明显提升。然而,令人意外的是,动物实验显示淀粉含量对TVP体内蛋白质消化率无显著影响。不过,淀粉含量变化会影响大鼠血清中氨基酸水平和十二指肠绒毛结构,在淀粉含量为10%时,大鼠血清总氨基酸和非必需氨基酸水平达到峰值,十二指肠绒毛高度与隐窝深度比值也最佳,这意味着此时氨基酸吸收效果最好。这一发现引发了研究人员的深入思考,也为后续的研究提供了新的方向。

这项研究首次系统揭示了淀粉添加量对TVP基植物肉消化吸收的影响,为开发高营养、易消化的植物肉产品提供了关键理论依据。未来,食品行业有望依据此研究成果,精准调控淀粉添加量,优化植物肉产品营养品质,满足消费者对美味与健康的双重追求,推动植物肉产业迈向新高度。

微信图片_2025-10-17_135123_419.png

Table 1. Moisture contents, protein contents, bulk densities, and rehydration rates of TVPs.

微信图片_2025-10-17_135126_458.png

Fig. 1. Appearance and microstructure of TVPs: A. visual surface of TVPs before rehydration; B-D. cross-section, internal structure, and microstructure of TVPs after rehydration, respectively.

微信图片_2025-10-17_135129_155.png

Fig. 2. Textural properties of TVPs: A. hardness; B. springiness; C. chewiness; D. cohesiveness; E. resilience.

微信图片_2025-10-17_135132_047.png

Fig. 3. Protein solubility of TVPs prepared with different starch contents.

微信图片_2025-10-17_135134_859.png

Fig. 4. Changes in the (A) particle size, (B) SDS–PAGE, and (C) total free amino acids of TVPs during digestion. Note: In SDS–PAGE profiles, lane M represents the marker, lane 1 represents the original sample before digestion, lanes 2–4 represent G30, G60 and G120, respectively.

微信图片_2025-10-17_135137_602.png

Table 2. Daily feed intake, weight gain, FCR, serum total protein, and serum urea nitrogen levels of rats; relative PER, APD, and TPD of feed.

微信图片_2025-10-17_135140_961.png

Fig. 5. Effects of fibrous structure on the microscopic structure of rat duodenum tissues: A. crypt depth; B. villus length; C. V/C ratio.

微信图片_2025-10-17_135144_322.png

Table 3. Serum-free amino acids in rats.


浙商大微信

浙商大新闻

浙商大微博

  • 分享到

商大要闻

综合新闻

教学科研