当前位置:首页 > 学术活动
林全全副教授Food Hydrocolloids发文:玉米淀粉对基于组织化植物蛋白的肉类似物结构和蛋白消化性的影响

发布日期:2025-09-29   字体:

近日,浙江工商大学食品与生物工程学院林全全副教授、韩剑众教授联合新西兰梅西大学Aiqian Ye教授在Food Hydrocolloids上发表了题为Structure and protein digestibility of textured vegetable proteins (TVPs)-based meat analogs: effect of corn starch的研究论文。

640


随着全球人口增长和对可持续发展需求的提升,传统畜牧业生产面临可持续性挑战。在此背景下,植物肉应运而生。植物肉因对环境友好、资源节约及可能的健康益处而受到越来越多的关注。

植物肉的主要配料是组织化植物蛋白(textured vegetable protein,简称TVP)。TVP是指以植物蛋白为主要原料,通过挤压等方法制得的具有类似动物肉纤维结构和口感的蛋白产品。淀粉作为TVP生产中的常见辅料,在TVP纤维结构形成中起着关键作用。然而,遗憾的是,有关淀粉对TVP中蛋白质消化性和氨基酸吸收的影响却从未被关注。

为了填补这一研究空白,本研究选用玉米淀粉作为典型代表,制备了5种淀粉含量在0% - 20%范围的TVP样品,运用多种技术深入剖析其纤维结构和蛋白质构象变化,通过体外消化模型和大鼠体内试验全面考察淀粉对TVP蛋白质消化性和氨基酸吸收的影响,旨在为开发具有高营养价值的植物肉产品提供坚实的理论依据。

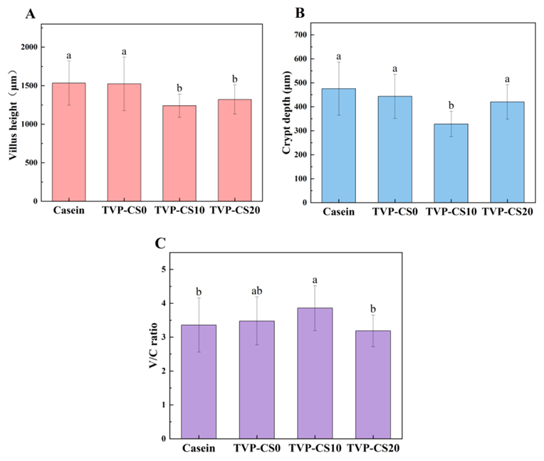
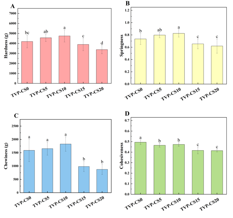
研究发现,随着玉米淀粉含量增加,TVP的结构发生显著变化。其硬度、弹性和咀嚼性呈现出先升后降的趋势,在淀粉含量为10%时达到峰值;与之相反,产品内聚性逐渐降低,纤维结构变得疏松无序。体外消化实验表明,高淀粉含量的TVP消化后的颗粒更小,蛋白质水解程度更高,释放的游离氨基酸更多,消化性明显提升。然而,令人意外的是,动物实验显示淀粉含量对TVP体内蛋白质消化率无显著影响。不过,淀粉含量变化会影响大鼠血清中氨基酸水平和十二指肠绒毛结构,在淀粉含量为10%时,大鼠血清总氨基酸和非必需氨基酸水平达到峰值,十二指肠绒毛高度与隐窝深度比值也最佳,这意味着此时氨基酸吸收效果最好。这一发现引发了研究人员的深入思考,也为后续的研究提供了新的方向。

图文赏析

Table 1. Moisture contents, protein contents, bulk densities, and rehydration rates of TVPs.

1

2

Fig. 1. Appearance and microstructure of TVPs: A. visual surface of TVPs before rehydration; B-D. cross-section, internal structure, and microstructure of TVPs after rehydration, respectively.

3

Fig. 2. Textural properties of TVPs: A. hardness; B. springiness; C. chewiness; D. cohesiveness; E. resilience.

4

Fig. 3. Protein solubility of TVPs prepared with different starch contents.

5

Fig. 4. Changes in the (A) particle size, (B) SDS–PAGE, and (C) total free amino acids of TVPs during digestion. Note: In SDS–PAGE profiles, lane M represents the marker, lane 1 represents the original sample before digestion, lanes 2–4 represent G30, G60 and G120, respectively.

Table 2. Daily feed intake, weight gain, FCR, serum total protein, and serum urea nitrogen levels of rats; relative PER, APD, and TPD of feed.

6

7

Fig. 5. Effects of fibrous structure on the microscopic structure of rat duodenum tissues: A. crypt depth; B. villus length; C. V/C ratio.

Table 3. Serum-free amino acids in rats.

8

这项研究首次系统揭示了淀粉添加量对TVP基植物肉消化吸收的影响,为开发高营养、易消化的植物肉产品提供了关键理论依据。未来,食品行业有望依据此研究成果,精准调控淀粉添加量,优化植物肉产品营养品质,满足消费者对美味与健康的双重追求,推动植物肉产业迈向新高度。

浙商大微信

浙商大新闻

浙商大微博

  • 分享到

商大要闻

综合新闻

教学科研